TOP›·¼¿·¥Ö¥í¥°›¥È¥é¥¤¡õ¥¨¥é¡¼
|
2015ǯ07·î06Æü
·îÍËÆü
¥È¥é¥¤¡õ¥¨¥é¡¼¡¡¡¡¡¡¡¡¡¡¡Ê¡¡·¼¿·¥Ö¥í¥°¡¡¡Ë
|
|
³§Íͤ³¤ó¤Ë¤Á¤Ï¡¢·¼¿·¥»¥ß¥Ê¡¼Âåɽ¤ÎÂçëÈ˼ù¤Ç¤¹¡£
Ãæ³ØÀ¸¤ÎÄê´ü¥Æ¥¹¥È¤Î·ë²Ì¤¬¤Û¤Ü½Ð¤½¤í¤¤¤Þ¤·¤¿¡£
º£²ó¤â¤¹¤´¤¤»Ò¤¬¡ª
Åö½Î¤ËÍè¤ëÁ°¤Ï30ÅÀÂæ¤À¤Ã¤¿¿ô³Ø¤Î¥Æ¥¹¥È¤¬¡¢¤Ê¤ó¤Èº£²ó70ÅÀ¤òͤ¨¤Þ¤·¤¿¡ª¡ª
¤³¤Î»Ò¤Ë´Ø¤·¤Æ¤Ï¡¢¤ä¤ë¤³¤È¤Ï¤ä¤Ã¤Æ¤¤¤Þ¤·¤¿¤¬¡¢¼ê¤´¤¿¤¨¤äÊѲ½¤ò¤Þ¤Ã¤¿¤¯´¶¤¸¤Æ¤¤¤Ê¤«¤Ã¤¿¤Î¤Ç¡¢¡ÖÂç¾æÉפ«¤Ê¡©¡¡¤â¤Ã¤È²¼¤¬¤ë¤Î¤Ç¤Ï¡©¡×¤È¤¤¤¦¤Î¤¬ÀµÄ¾¤Êµ¤»ý¤Á¤Ç¤·¤¿¡£
¤Ç¤â¤·¤Ã¤«¤ê¤ä¤Ã¤¿¹ÃÈå¤Ï¤¢¤Ã¤¿¤Î¤Ç¤¹¤Í¡£¥Æ¥¹¥È¤¬½ª¤ï¤Ã¤Æ¤«¤éµÞ·ã¤ÊÊѲ½¤¬µ¯¤¤Þ¤·¤¿¡ª
Æþ½Î¤·¤Æ¤«¤é¤º¤Ã¤È¡¢¿÷Ä»¤¬¿ÆÄ»¤Î±Â¤òÂԤäƤ¤¤ë¤è¤¦¤Ê¾õÂ֤ǡ¢¡ØÃ¯¤«¤Ê¤ó¤È¤«¤·¤Æ¤¯¤ì¡¼¡Ù¥ª¡¼¥é¤òȯ¤·¤Æ¤¤¤¿¤Î¤¬¡¢¥Æ¥¹¥È¸å¤Ë¤Ï¤½¤ì¤ò¤Þ¤Ã¤¿¤¯´¶¤¸¤Ê¤¯¤Ê¤Ã¤¿¤Î¤Ç¤¹¡£
ÅÀ¿ô¤¬¾å¤¬¤Ã¤Æ¼«¿®¤¬¤Ä¤¤¤¿¤Î¤«¡¢¤½¤ì¤È¤â¡¢¥ª¡¼¥é¤òȯ¤·¤Æ¤â¤¹¤°¤Ë¤Ï¶µ¤¨¤Æ¤â¤é¤¨¤Ê¤¤¤Î¤¬¤ï¤«¤Ã¤¿¤Î¤«¤ï¤«¤ê¤Þ¤»¤ó¤¬¡¢Åú¤¨¤¬½Ð¤ë¤Þ¤Ç²¿Å٤ⲿÅÙ¤â¥Á¥ã¥ì¥ó¥¸¤·¤Æ¤¤¤ë¤Î¤Ç¤¹¡£
¤â¤Á¤í¤ó¡¢¤Þ¤À¼«Ê¬¤ÎÎϤǤʤó¤È¤«Åú¤¨¤¬½Ð¤ë¤È¤¤¤¦Ãʳ¬¤Ç¡¢¤½¤ì¤¬Á´¤Æ¹ç¤Ã¤Æ¤¤¤ë¤È¤¤¤¦¤ï¤±¤Ç¤Ï¤Ê¤¤¤Î¤Ç¤¹¤¬¡¢»ä¤Î·Ð¸³¾å¡¢¤³¤¦¤¤¤¦»Ò¤Ïɬ¤º¿¤Ó¤Þ¤¹¡ª
¼ø¶ÈÃæ¡¢Æñ¤·¤¤ÌäÂꡢʬ¤«¤é¤Ê¤¤ÌäÂê¤ËÂФ·¤Æ¡¢¤º¤Ã¤È¸Ç¤Þ¤Ã¤ÆÆ°¤«¤Ê¤¤»Ò¤¬¤¤¤Þ¤¹¤¬¡¢¸Ç¤Þ¤Ã¤Æ¤¤¤Æ¤â²ò¤±¤ë¤è¤¦¤Ë¤Ê¤é¤Ê¤¤¤·¡¢À®Ä¹¤â¤·¤Þ¤»¤ó¡£
¤è¤¯¡ÖÌäÂêʸ¤ò¤è¤¯ÆÉ¤ß¤Þ¤·¤ç¤¦¡×¤È¸À¤¤¤Þ¤¹¤¬¡¢¸Ç¤Þ¤Ã¤Æ¤¤¤ë»Ò¤È¤¤¤¦¤Î¤Ï¡¢ÌäÂêʸ¤ò±Ê±ó¤Ë·«¤êÊÖ¤·ÆÉ¤ó¤Ç¤¤¤ë¤À¤±¤Ç¡¢¼Â¤ÏƬ¤òÁ´¤¯»È¤Ã¤Æ¤¤¤Þ¤»¤ó¡£¡ÊÃæ¤Ë¤Ï¤½¤Î¤¦¤Á¿²¤Æ¤·¤Þ¤¦»Ò¤â¤¤¤Þ¤¹¡Ë
Ƭ¤ò»È¤¦¤È¤¤¤¦¤³¤È¤Ï¡¢¼ê¤ò»È¤¦¤È¤¤¤¦¤³¤È¤À¤È»ä¤Ï»×¤¤¤Þ¤¹¡£
»»¿ô¡¦¿ô³Ø¤Ê¤é¡¢²¿¤«¼°¤òºî¤Ã¤Æ¤ß¤ë¤È¤«¡¢¿Þ¤äɽ¤ò½ñ¤¤¤Æ¤ß¤ë¤È¤«¡¢¥Æ¥¥¹¥È¤ä¶µ²Ê½ñ¤Ë»÷¤¿¤è¤¦¤ÊÌäÂ꤬¤Ê¤¤¤«Ãµ¤¹¤È¤«¡¦¡¦¡¦¡¡¤È¤ê¤¢¤¨¤º²¿¤«¤ä¤Ã¤Æ¤ß¤ë¡Ê½ñ¤¤¤Æ¤ß¤ë¡Ë¤³¤È¤¬ÂçÀÚ¤À¤È»×¤¦¤Î¤Ç¤¹¡£
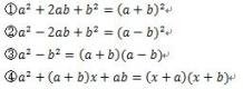
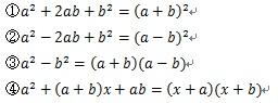
Î㤨¤Ð°ø¿ôʬ²ò¡£
Ãæ³Ø¹»¤Ç½¬¤¦¾èË¡¸ø¼°¤Ï¢¤·¤«¤¢¤ê¤Þ¤»¤ó¡£

¸Ç¤Þ¤Ã¤Æ¤¤¤ë²Ë¤¬¤¢¤ë¤Î¤Ê¤é¡¢¡¤«¤é½ç¤ËÅö¤Æ¤Ï¤á¤Æ¤ß¤ì¤Ð¤¤¤¤¤Î¤Ç¤¹¡£
Ãæ³Ø¹»¤Î¾èË¡¸ø¼°¤Ç¥¢¥Ã¥×¥¢¥Ã¥×¤Ê¤é¡¢¹â¹»¤Ë¹Ô¤Ã¤¿¤é¤É¤¦¤Ê¤ë¤Î¤Ç¤·¤ç¤¦¡©
º£Ç¯¤ÎÃæ³Ø3À¸¤Ï10̾ºßÀÒ¤·¤Æ¤¤¤Þ¤¹¤¬¡¢È¾Ê¬¤Î5̾¤Ïº£²ó¤ÎÄê´ü¥Æ¥¹¥È¤Ç450ÅÀ¤òͤ¨¤Æ¤¤¤Þ¤¹¡£
¤ä¤Ï¤ê¤¤Á¤ó¤È·ë²Ì¤ò½Ð¤¹»Ò¤È¤¤¤¦¤Î¤Ï¡¢ÉáÃʤ«¤é¼ê¤ò»È¤Ã¤ÆÊÙ¶¯¤·¤Æ¤¤¤Þ¤¹¡£
¼è¤ê¤¢¤¨¤º¤ä¤Ã¤Æ¤ß¤ë¡¢´Ö°ã¤¨¤¿¤é²ò¤Ä¾¤¹¡£
¿Í¤Ë¶µ¤¨¤Æ¤â¤é¤¦¤Î¤ÏÂԤäƤ¤¤ë¤Î¤Ç¤Ï¤Ê¤¯¡¢¼«Ê¬¤Ç¥È¥é¥¤¡õ¥¨¥é¡¼¤¬¤¤Á¤ó¤È¤Ç¤¤ë¤è¤¦¤Ë¤Ê¤ë¤³¤È¤¬ÂçÀÚ¤À¤È»×¤Ã¤Æ¤¤¤Þ¤¹¤·¡¢²æ¡¹¤Ï¤½¤¦¤¤¤¦»Ò¤ò°é¤Æ¤¿¤¤¤È»×¤Ã¤Æ¤¤¤Þ¤¹¡£
|
|

Âåɽ¡¡Âçë¡¡È˼ù |
|
ô¡¡Åö |
¾®³ØÀ¸¡¡Ãæ³ØÀ¸¡¡
|
|
¶µ¡¡²Ê |
»»¿ô¡¦¿ô³Ø¡¡¡¦Íý²Ê |
|
¼«¸Ê¾Ò²ð |
¿·³ã»Ô½Ð¿È¡£¾å±Û»ÔÆâÂç¼ê¿Ê³Ø½Î¤Ç16ǯ´Ö¶Ð̳¤·¡¢½¸ÃÄ»ØÆ³¡¢¸ÄÊÌÂбþ¼«Î©·¿³Ø½¬»ØÆ³¤Ç¿¤¯¤Î»Ò¤É¤â¤¿¤Á¤ò»ØÆ³¤·¤Æ¤¤Þ¤·¤¿¡£º£¤Þ¤Ç³Ø¤ó¤Ç¤¤¿¤³¤È¤òÃϸµ¿·³ã»Ô¤Î»Ò¤É¤â¤¿¤Á¤ÎÀ®Ä¹¤Î¤¿¤á¤Ë³è¤«¤·¤Æ¤¤¤¤¿¤¤¤È»×¤¤¡¢º£Ç¯ÆÈΩ¤·¤Æ¡Ö·¼¿·¥»¥ß¥Ê¡¼¡×¤ò³«¹»¤¹¤ë¤³¤È¤¤¤¿¤·¤Þ¤·¤¿¡£¹Ö»Õ¤ò¤·¤Æ¤¤¤ë¤È¡¢»Ò¤É¤â¤¿¤Á¤«¤é¤è¤¯¡ÖÊýÄø¼°¤Ê¤ó¤«¾Í貿¤ÎÌò¤ËΩ¤Ä¤Î¡©¡×¤È¤«¡Ö°ø¿ôʬ²ò¤Ê¤ó¤Æ¤Ç¤¤Ê¤¯¤Æ¤âÂç¾æÉסª¡×¤È¸À¤ï¤ì¤ë¤³¤È¤¬Â¿¤¯¤¢¤ê¤Þ¤¹¡£³Î¤«¤Ë¡¢¾Íè³Ø¹»¤ÎÀèÀ¸¤ä»ä¤Î¤è¤¦¤Ê½Î¤Î¹Ö»Õ¤Ë¤Ê¤é¤Ê¤¤¸Â¤ê¡¢ÊýÄø¼°¤ä°ø¿ôʬ²ò¤òľÀܻȤ¦¤³¤È¤Ï¤Ê¤¤¤È»×¤¤¤Þ¤¹¡£¤·¤«¤·¡¢»»¿ô¤ä¿ô³Ø¤Ë¸Â¤Ã¤¿¤³¤È¤Ç¤Ï¤Ê¤¤¤Î¤Ç¤¹¤¬¡¢ÊÙ¶¯¤¹¤ë¤È¤¤¤¦¤³¤È¤Ï¡¢À¸¤¤Æ¤¤¤¯¤¿¤á¤ËɬÍפʡÖÌäÂê²ò·èǽÎϡפòÃ䨤뤳¤È¤Ç¤¢¤ë¤È¹Í¤¨¤Þ¤¹¡£¤¢¤¢¤Ç¤â¤Ê¤¤¡¢¤³¤¦¤Ç¤â¤Ê¤¤¤È¿§¡¹¤Ê²òË¡¥Ñ¥¿¡¼¥ó¤ò»È¤Ã¤ÆÆñ¤·¤¤ÌäÂê¤ò²ò¤¯¤³¤È¤Ç¡Ö¹©Éפ¹¤ë¡×¤³¤È¤ò³Ð¤¨¡¢¡Ö¹Í¤¨¤ë¡×½¬´·¤¬¿È¤ËÉÕ¤¤Þ¤¹¡£Âç¿Í¤Ë¤Ê¤ë¤ÈÅú¤¨¤¬½Ð¤Ê¤¤º¤Æñ¤ÊÌäÂê¤Ë¤¿¤¯¤µ¤óÁø¶ø¤·¤Þ¤¹¡£¤·¤«¤·¡¢³ØÀ¸»þÂå¤Ë¡ÖÌäÂê²ò·èǽÎϡפò¿È¤ËÉÕ¤±¤Æ¤ª¤±¤Ð¡¢É¬¤ºÅú¤¨¤Ë¤¿¤É¤êÃ夯¤³¤È¤¬¤Ç¤¤ë¤Î¤Ç¤¹¡£¾Íè¡¢¡Ö¼«Ê¬¤ÎÎϤÇÀ¸¤¤Æ¤¤¤±¤ëÂç¿Í¡×¤Ë¤Ê¤ë¤¿¤á¤Ë¡¢»Ò¤É¤â¤¿¤Á¤Ë¡ÖÌäÂê²ò·èǽÎϡפò¿È¤ËÉÕ¤±¤µ¤»¤Æ¤¢¤²¤¿¤¤¤È»×¤¤¤Þ¤¹¡£
|
|
|

|
|
ÅÅ¡¡ÏÃ |
025-290-7170
|
¼õÉÕ»þ´Ö
|
15:00¡Á19:00
|
|
ÄêµÙÆü¡¦È÷¹Í |
ÆüÍ˵٤ߡ¡¢¨¼ø¶ÈÃæ¤ÏÂбþ¤Ç¤¤Ê¤¤¾ì¹ç¤¬¤´¤¶¤¤¤Þ¤¹ |
|
½»¡¡½ê |
¢©950-0951 ¿·³ã¸©¿·³ã»ÔÃæ±û¶èÄ»²°Ìî2-17-21 |
|
¸ò¡¡ÄÌ |
JR±Û¸åÀþ¿·³ã±Ø ¥Ð¥¹25ʬ ÅÌÊâ3ʬ ¿·³ã±ØÁ°¤è¤êÄ»²°ÌîÀþ¥Ð¥¹¡ÖÄ»²°Ìî¡×²¼¼Ö |
|
¥Ú¡¼¥¸¥È¥Ã¥×¤Ø