TOP·¼¿·¥Ö¥í¥°ÅÚÂæ

2020ǯ11·î30Æü ·îÍËÆü ÅÚÂæ¡¡¡¡¡¡¡¡¡¡¡Ê¡¡·¼¿·¥Ö¥í¥°¡¡¡Ë

³§Íͤ³¤ó¤Ë¤Á¤Ï¡¢·¼¿·¥»¥ß¥Ê¡¼Âåɽ¤ÎÂçëÈ˼ù¤Ç¤¹¡£

µ¤¤¬ÉÕ¤±¤ÐÌÀÆü¤«¤é12·î¤Ç¤¹¤Í¡£
Áᤤ¤â¤Î¤Ç¤¹¡£
ÀèÆü²ÈÆâ¤¬¤»¤Ã¤»¤Èǯ²ì¾õºî¤ê¤ò¤·¤Æ¤¤¤Æ¡¢¡ÖºÜ¤»¤ë¼Ì¿¿¤¬¤Ê¤¤¡×¤Èº¤¤Ã¤Æ¤¤¤Þ¤·¤¿¡£
¹Í¤¨¤Æ¤ß¤ì¤Ð¡¢º£Ç¯¤Ï¥³¥í¥Ê¤Î±Æ¶Á¤Ç¡¢¤Û¤È¤ó¤É¤É¤³¤Ë¤â¹Ô¤±¤º¡¦¡¦¡¦
¤É¤³¤«¤Ø¹Ô¤Ã¤¿¤È¤·¤Æ¤â¡ÖÁ᤯¡¢Á᤯¡×¤Ã¤Æ´¶¤¸¤Ç¡¢¤æ¤Ã¤¯¤ê¤¹¤ë¤³¤È¤â¤Ç¤­¤º¤Ç¡¢¼Ì¿¿¤Ê¤ó¤«»£¤Ã¤Æ¤¤¤ë¤æ¤È¤ê¤â¤¢¤ê¤Þ¤»¤ó¤Ç¤·¤¿¡£
Íèǯ¤³¤½¤Ï³Ú¤·¤¤¼Ì¿¿¤ò¤¿¤¯¤µ¤ó»£¤ê¤¿¤¤¤Ç¤¹¤Í¡£


Ãæ³ØÀ¸¤ÎÄê´ü¥Æ¥¹¥ÈÂкö¤¬½ª¤ï¤ê¡¢ºòÆü¤ÎÆüÍËÆü¤Ï¹â¹»À¸¤ÎÄê´ü¥Æ¥¹¥ÈÂкö¡£
¿Í¿ô¤Ï¤½¤ì¤Û¤É¿¤¯¤Ê¤¤¤Î¤Ç¤¹¤¬¡¢³Ø¹»¤â³ØÇ¯¤â¥Ð¥é¥Ð¥é¤Ê¤Î¤Ç¡¢Ã±¸µ¤â¥Ð¥é¥Ð¥é¡£
¥æ¡¼¥¯¥ê¥Ã¥É¤Î¸ß½üË¡¡¢Æó¿ÊË¡¡¢»°³ÑÈæ¡¢³ÎΨ¡¢»°³Ñ´Ø¿ô¡¢»Ø¿ô´Ø¿ô¡¢¥Ù¥¯¥È¥ë¡¢¡¦¡¦¡¦
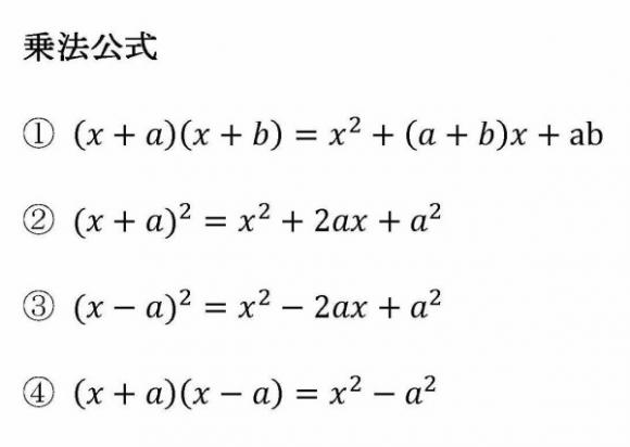
Åö½Î¤ËÍè¤Æ¤¤¤ë¹â¹»À¸¤Ï¡¢¿ô³Ø¤¬¶ì¼ê¤Ê»Ò¤¬Â¿¤¤¤Î¤Ç¡¢¤¿¤¯¤µ¤ó¼ÁÌ䤬¤Ç¤ë¤Î¤Ç¤¹¤¬¡¢Á´°÷¤¬¶¦Ä̤·¤Æ¤Ç¤­¤Ê¤¤¤Î¤¬¡¢Ãæ3¤Ç½¬¤Ã¤¿¡Ø¾èË¡¸ø¼°¡Ù¡£¡¡¢­

¡¡img1

Ãæ3¤Ç¤Ï¾èË¡¸ø¼°¤ò3¼ïÎཬ¤¦¤Î¤Ç¤¹¤¬¡¢ÆÃ¤Ë­¢¡¢­£¤Î¡Ø¥«¥Ã¥³¤Î2¾è¤ÎŸ³«¡Ù¤¬¥¹¥à¡¼¥º¤Ë¤Ç¤­¤Ê¤¤¡£
¤Ê¤¼¤«²¿ÅÙ¤ä¤Ã¤Æ¤â´Ö°ã¤¨¤Æ¤·¤Þ¤¦¡£
Ãæ3¤Ç½¬¤¦¾èË¡¸ø¼°¤Ï¡¢¾®³ØÀ¸¤Ç¸À¤¦¤È¤³¤í¤Î¡Ø¶å¶å¡Ù¤ß¤¿¤¤¤Ê¤â¤Î¡£
¡Ø¶å¶å¡Ù¤Ï¡¢1¡ß1¡á1¡Ê¤¤¤ó¤¤¤Á¤¬¤¤¤Á¡Ë¡¢1¡ß2¡á2¡Ê¤¤¤ó¤Ë¤¬¤Ë¡Ë¡¢¡¦¡¦¡¦¡¡¤òÃΤäƤ¤¤ë¡Ê¸À¤¨¤ë¡Ë¤À¤±¤Ç¤Ï¥À¥á¤Ç¡¢¤­¤Á¤ó¤È»È¤¤¤³¤Ê¤»¤ë¤è¤¦¤Ë¤Ê¤é¤Ê¤¤¤È¤¤¤±¤Þ¤»¤ó¡£
¤­¤Á¤ó¤È»È¤¤¤³¤Ê¤¹¤È¤¤¤¦¤Î¤Ï¡¢1¤±¤¿¡ß1¤±¤¿¤Î¤«¤±»»¤¬¤Ç¤­¤ë¤À¤±¤Ç¤Ê¤¯¡¢2¤±¤¿°Ê¾å¤Î¤«¤±»»¤¬¤Ç¤­¤ë¡¢¤ï¤ê»»¤¬¤Ç¤­¤ë¡¢Ìóʬ¤¬¤Ç¤­¤ë¡¢ÄÌʬ¤¬¤Ç¤­¤ë¡¢64¤ò¸«¤Æ8¤Î2¾è¡Ê8¡ß8¡Ë¤Ëµ¤ÉÕ¤¯¡¦¡¦¡¦¡¡¤È¤¤¤¦¤³¤È¤Ç¤¹¡£¤·¤«¤âÁ᤯Àµ³Î¤Ë¡£
¤½¤ì¤ÈƱ¤¸¤ÇÃæ3¤Ç½¬¤¦¾èË¡¤Î¸ø¼°¤â¡¢¤¿¤ÀÃΤäƤ¤¤ë¤À¤±¤Ç¤Ï¥À¥á¤Ç¡¢x¤äa¤¬sin¡¢cos¤Ë¤Ê¤Ã¤¿¤ê¡¢¥Ù¥¯¥È¥ë¤Ë¤Ê¤Ã¤¿¤ê¤·¤Æ¤â¤Ç¤­¤Ê¤±¤ì¤Ð¤Ê¤é¤Ê¤¤¤Î¤Ç¤¹¡£

¤µ¤é¤Ë¡¢¿ô³Ø¤¬¶ì¼ê¤Ê»Ò¤Ë¶¦Ä̤¹¤ë¤Î¤¬¡¢¡ØÅÓÃæ¼°¤ò¤¿¤¯¤µ¤ó½ñ¤¯¡Ù¤È¤¤¤¦¤³¤È¡£
¡Ö¤¤¤Ä¤â¡ØÅÓÃæ¼°¤ò¤­¤Á¤ó¤È½ñ¤±¡ª¡Ù¤È¸À¤Ã¤Æ¤¤¤ë¤¸¤ã¤Ê¤¤¤«¡×¤È¸À¤ï¤ì¤½¤¦¤Ç¤¹¤¬¡¢¹â¹»À¸¤ÏÊ̤Ǥ¹¡£
¹â¹»À¸¤Ï¤¢¤ëÄøÅ٤ϰŻ»¤Ç½èÍý¤·¤Ê¤±¤ì¤Ð¡¢»þ´ÖÆâ¤Ë½ª¤ï¤é¤Ê¤¯¤Ê¤ê¤Þ¤¹¡£
¡Ê¤¤¤ï¤ó¤ä¡¢438¡à2¡¡¤Î¤è¤¦¤Ê·×»»¤òÉ®»»¤Ç¤ä¤ë¤Ê¤ó¤Æ¡¦¡¦¡¦¡Ë
¤½¤ì¤Ë¡¢ÅÓÃæ¼°¤ò¤¿¤¯¤µ¤ó½ñ¤±¤Ð½ñ¤¯¤Û¤É¡¢Å¾µ­¥ß¥¹¤ä·×»»¥ß¥¹¤¬Áý¤¨¤Æ¡¢´Ö°ã¤¨¤ëΨ¤â¹â¤¯¤Ê¤Ã¤Æ¤·¤Þ¤¤¤Þ¤¹¡£

¾®Ãæ³ØÀ¸¤Ï¤Þ¤À´ðÁáÊÅÚÂæ¡Ë¤¬¤·¤Ã¤«¤ê¤·¤Æ¤¤¤Þ¤»¤ó¤Î¤Ç¡¢´Ö°ã¤¤¤¬¤Ê¤¤¤è¤¦¤ËÅÓÃæ¼°¤ò¤·¤Ã¤«¤ê½ñ¤¯¡¢¤Ä¤Þ¤ê¡¢²Ä»ë²½¤·¤Æ³Îǧ¤·¤Ê¤¬¤é¹Í¤¨¤ëɬÍפ¬¤¢¤ê¤Þ¤¹¤¬¡¢¹â¹»À¸¤Ï¡¢¤¤¤¤°ÕÌ£¤Ç¤â°­¤¤°ÕÌ£¤Ç¤â¡¢¥Ù¡¼¥¹¤È¤Ê¤ë·×»»ÎϤ¬¸Ç¤Þ¤Ã¤Æ¤·¤Þ¤Ã¤Æ¤¤¤Þ¤¹¤Î¤Ç¡¢°Å»»¤Ç½èÍý¤·¤¿Êý¤¬µÕ¤ËÀµ³Î¤Ë²ò¤±¤ë¤Î¤Ç¤¹¡£
¡Ê°­¤¤°ÕÌ£¤Ç¸Ç¤Þ¤Ã¤Æ¤·¤Þ¤Ã¤¿¿Í¤Ï¡¢ÅÓÃæ¼°¤ò±Ê±ó¤ËÃúÇ«¤Ë½ñ¤­Â³¤±¤Ê¤±¤ì¤Ð¤¤¤±¤Þ¤»¤ó¤¬¡¦¡¦¡¦¡Ë

¤³¤¦¹Í¤¨¤ë¤È¡¢¾®Ãæ³ØÀ¸¤ÎÅÚÂæºî¤ê¤Ã¤Æ¡¢Âç»ö¤Ç¤Í¡£
¡Ö¸å¤«¤é¡×¤È¤¤¤¦Ìõ¤Ë¤Ï¤¤¤­¤Þ¤»¤ó¡£»»¿ô¡¢¿ô³Ø¤Ç¶ìÏ«¤·¤Æ¤¤¤ë¾®Ãæ³ØÀ¸¤Î³§¤µ¤ó¡¢º£¤Ï¤¤¤Á¤¤¤Á¤á¤ó¤É¤¯¤µ¤¯¤Æ¡¢¿É¤¤¤³¤È¤¬Â¿¤¤¤«¤â¤·¤ì¤Þ¤»¤ó¤¬¡¢À衹¤Î¤³¤È¤ò¹Í¤¨¤Æ¡¢¤·¤Ã¤«¤êÅÚÂæºî¤ê¤ò¤·¤Þ¤·¤ç¤¦¡£


¡ã¤ªÃΤ餻¡ä
¢£½ÎÀ¸¤Î³§ÍͤØ
¡Ø¸ÄÊÌÌÌÃ̡٤¬11¡¿25¡Ê¿å¡Ë¤«¤é¡¢¡ØÅß´ü¹Ö½¬¡Ù¤¬12¡¿24¡ÊÌڡˤ«¤é»Ï¤Þ¤ê¤Þ¤¹¡£
¿½¤·¹þ¤ß¤¬¤Þ¤À¤ÎÊý¤Ï¡¢¤ªÁá¤á¤Ë¤ª¿½¤·¹þ¤ß¤¯¤À¤µ¤¤¡£
¡Ê¡ØÅß´ü¹Ö½¬¡Ù¤Ï¤¹¤Ç¤ËËþÀʤλþ´ÖÂÓ¤¬¤¢¤ê¤Þ¤¹¡Ë

Âåɽ¡¡Âçë¡¡È˼ù

ô¡¡Åö

¾®³ØÀ¸¡¡Ãæ³ØÀ¸¡¡

¶µ¡¡²Ê

»»¿ô¡¦¿ô³Ø¡¡¡¦Íý²Ê

¼«¸Ê¾Ò²ð

¿·³ã»Ô½Ð¿È¡£¾å±Û»ÔÆâÂç¼ê¿Ê³Ø½Î¤Ç16ǯ´Ö¶Ð̳¤·¡¢½¸ÃÄ»ØÆ³¡¢¸ÄÊÌÂбþ¼«Î©·¿³Ø½¬»ØÆ³¤Ç¿¤¯¤Î»Ò¤É¤â¤¿¤Á¤ò»ØÆ³¤·¤Æ¤­¤Þ¤·¤¿¡£º£¤Þ¤Ç³Ø¤ó¤Ç¤­¤¿¤³¤È¤òÃϸµ¿·³ã»Ô¤Î»Ò¤É¤â¤¿¤Á¤ÎÀ®Ä¹¤Î¤¿¤á¤Ë³è¤«¤·¤Æ¤¤¤­¤¿¤¤¤È»×¤¤¡¢º£Ç¯ÆÈΩ¤·¤Æ¡Ö·¼¿·¥»¥ß¥Ê¡¼¡×¤ò³«¹»¤¹¤ë¤³¤È¤¤¤¿¤·¤Þ¤·¤¿¡£¹Ö»Õ¤ò¤·¤Æ¤¤¤ë¤È¡¢»Ò¤É¤â¤¿¤Á¤«¤é¤è¤¯¡ÖÊýÄø¼°¤Ê¤ó¤«¾­Í貿¤ÎÌò¤ËΩ¤Ä¤Î¡©¡×¤È¤«¡Ö°ø¿ôʬ²ò¤Ê¤ó¤Æ¤Ç¤­¤Ê¤¯¤Æ¤âÂç¾æÉסª¡×¤È¸À¤ï¤ì¤ë¤³¤È¤¬Â¿¤¯¤¢¤ê¤Þ¤¹¡£³Î¤«¤Ë¡¢¾­Íè³Ø¹»¤ÎÀèÀ¸¤ä»ä¤Î¤è¤¦¤Ê½Î¤Î¹Ö»Õ¤Ë¤Ê¤é¤Ê¤¤¸Â¤ê¡¢ÊýÄø¼°¤ä°ø¿ôʬ²ò¤òľÀܻȤ¦¤³¤È¤Ï¤Ê¤¤¤È»×¤¤¤Þ¤¹¡£¤·¤«¤·¡¢»»¿ô¤ä¿ô³Ø¤Ë¸Â¤Ã¤¿¤³¤È¤Ç¤Ï¤Ê¤¤¤Î¤Ç¤¹¤¬¡¢ÊÙ¶¯¤¹¤ë¤È¤¤¤¦¤³¤È¤Ï¡¢À¸¤­¤Æ¤¤¤¯¤¿¤á¤ËɬÍפʡÖÌäÂê²ò·èǽÎϡפòÃ䨤뤳¤È¤Ç¤¢¤ë¤È¹Í¤¨¤Þ¤¹¡£¤¢¤¢¤Ç¤â¤Ê¤¤¡¢¤³¤¦¤Ç¤â¤Ê¤¤¤È¿§¡¹¤Ê²òË¡¥Ñ¥¿¡¼¥ó¤ò»È¤Ã¤ÆÆñ¤·¤¤ÌäÂê¤ò²ò¤¯¤³¤È¤Ç¡Ö¹©Éפ¹¤ë¡×¤³¤È¤ò³Ð¤¨¡¢¡Ö¹Í¤¨¤ë¡×½¬´·¤¬¿È¤ËÉÕ¤­¤Þ¤¹¡£Âç¿Í¤Ë¤Ê¤ë¤ÈÅú¤¨¤¬½Ð¤Ê¤¤º¤Æñ¤ÊÌäÂê¤Ë¤¿¤¯¤µ¤óÁø¶ø¤·¤Þ¤¹¡£¤·¤«¤·¡¢³ØÀ¸»þÂå¤Ë¡ÖÌäÂê²ò·èǽÎϡפò¿È¤ËÉÕ¤±¤Æ¤ª¤±¤Ð¡¢É¬¤ºÅú¤¨¤Ë¤¿¤É¤êÃ夯¤³¤È¤¬¤Ç¤­¤ë¤Î¤Ç¤¹¡£¾­Íè¡¢¡Ö¼«Ê¬¤ÎÎϤÇÀ¸¤­¤Æ¤¤¤±¤ëÂç¿Í¡×¤Ë¤Ê¤ë¤¿¤á¤Ë¡¢»Ò¤É¤â¤¿¤Á¤Ë¡ÖÌäÂê²ò·èǽÎϡפò¿È¤ËÉÕ¤±¤µ¤»¤Æ¤¢¤²¤¿¤¤¤È»×¤¤¤Þ¤¹¡£

 

 

·¼¿·¥»¥ß¥Ê¡¼

ÅÅ¡¡ÏÃ

025-290-7170

¼õÉÕ»þ´Ö

15:00¡Á19:00

ÄêµÙÆü¡¦È÷¹Í

ÆüÍ˵٤ߡ¡¢¨¼ø¶ÈÃæ¤ÏÂбþ¤Ç¤­¤Ê¤¤¾ì¹ç¤¬¤´¤¶¤¤¤Þ¤¹

½»¡¡½ê

¢©950-0951

¿·³ã¸©¿·³ã»ÔÃæ±û¶èÄ»²°Ìî2-17-21

¸ò¡¡ÄÌ

JR±Û¸åÀþ¿·³ã±Ø ¥Ð¥¹25ʬ ÅÌÊâ3ʬ ¿·³ã±ØÁ°¤è¤êÄ»²°ÌîÀþ¥Ð¥¹¡ÖÄ»²°Ìî¡×²¼¼Ö

¥Ú¡¼¥¸¥È¥Ã¥×¤Ø